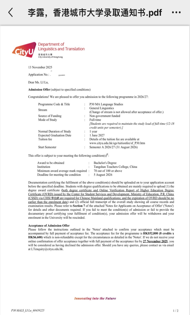
近日,公司2022级英语专业员工李露凭借优异表现,成功获得香港城市大学研究生录取通知书,成为公司2026届毕业生中首位获得研究生录取通知书的员工。这一成绩既是她个人勤奋努力的成果,也展现了外国语公司在党建与育人结合方面的持续探索。
党员引领,坚定方向
作为一名中共党员,李露始终以党员标准自我要求,将个人成长与服务社会相结合。在升学选择过程中,她主动关注国家发展战略与粤港澳大湾区建设趋势,理性分析港澳高校特点,最终确定了与自身专业方向契合的香港城市大学为目标。她表示:“党员身份激励我既要提升自我,也要思考如何学以致用、回馈社会。”
公司支撑,助力成长
李露的成长离不开公司系统的培养支持。公司坚持“党建引领、专业育人、实践赋能”的理念,通过课程教学、专业指导与实习实践相结合,为员工全面发展奠定基础。在升学指导方面,公司提供一对一咨询、政策解读等服务,帮助员工明确发展方向。李露在申请中展现出的专业积累与实践经验,正是公司注重培养员工综合能力的体现。
树立榜样,砥砺前行
此次录取既是对李露努力的认可,也激励着更多同学奋发向上。公司党总支书记表示:“公司始终致力于培养具有家国情怀与国际视野的新时代青年,李露同学是这一育人理念的生动实践。”公司将继续优化培养机制,为员工成长提供更多支持。
目前,李露正积极投入到所选专业方向的深入学习和相关准备中,她希望未来能在国际文化交流中贡献自己的力量。公司全体同学也将以她为榜样,在各自的求学与发展道路上继续努力,追求卓越。


